ODES-lab Publications

refereed journal articles & reviews  | book chapters | poems in science-based publications

Refereed Journal Publications

                           (# indicates UG author and *indicates the corresponding author)

See alternatively at Vivek Sharma’s Google Scholar Profile

In the works, or submitted, or under revision

Coalescence of nanoscopic mesas in stratifying foam films, C. Xu, and V. Sharma, in. prep.

Lifespan of Viscoelastic Filaments, J. Dinic and V. Sharma*,  in prep. 

Influence of Added Salt on Pinch-off Dynamics and Extensional Rheology Response of Polyelectrolytes Solutions Characterized using Dripping-onto-Substrate rheometry, L.N, Jimenez, J. Dinic, C. Martinez and V.Sharma, in prep.

 Tears of Wine, P. Rathore, C. Xu, and V. Sharma*, in prep.

Growth of nanoscopic mesas in stratifying foam films, C. Xu, Y. Zhang, S. Yilixiati, and V. Sharma, under revision (2025).

Extreme Shear and Extensional Rheology of Polymer Solutions using TriPAV, Trimaster2+ and Theory, D. Vadillo, M. Tembely, C. Hartmann-Thompson, H. Gomaa, C. Slykas, A. Soucemarianadin, and V. Sharma, submitted 2025.

Extensional Rheology of Polymeric Coating Fluids, C. Martinez, J. Dinic, M. Egeler#, D. Rich, P. Chevalier, J. DeGroot, and V. Sharma*, under revision, 2025.

Domain Expansion Dynamics and Ridge Evolution in Stratifying Micellar Films: Theory, Y. Zhang and V. Sharma*, under revision, 2025.

Drop growth physics in breath figure templated assembly, V. Sharma and M. Srinivasarao, in revision, 2025.

Published/ In press / Accepted

65. “Continuous production of dilute to dense food grade emulsions via vapor condensation on films”, G. Prasanth Kumar; N. N. Nikolova; V. Sharma, and S.Anand, J. Colloid Interface Sci, 712, 140067 (2026).

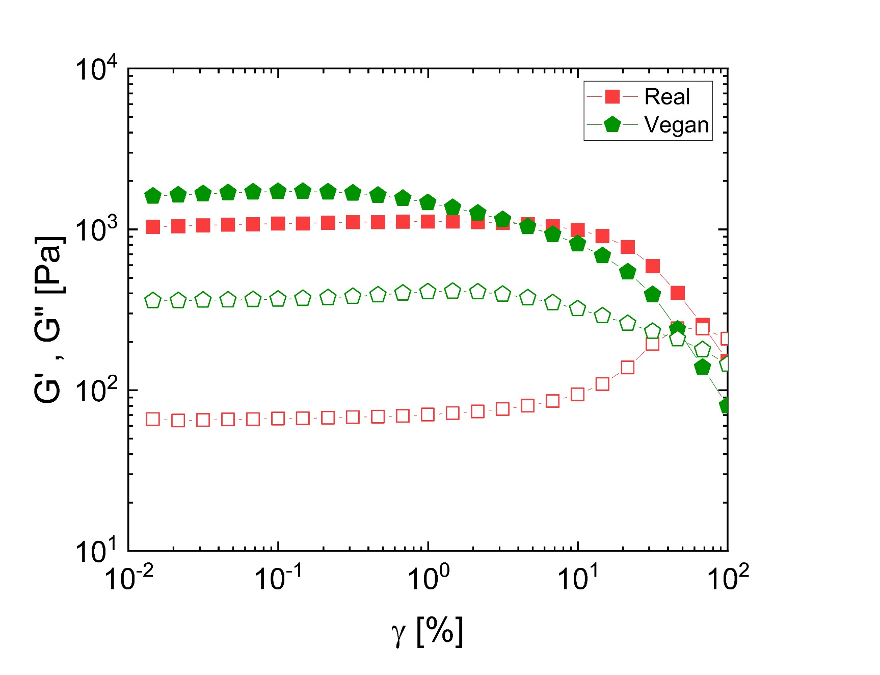
64. “Rheological matchup of real and plant-bayed mayo: gel strength, strain overshoot, and yielding, plus the extended Cox-Merz rule”, N.N. Nikolova, S. K. Baier, and V. Sharma, Soft Matter (2026).

Mayonnaise is a dense oil-in-water emulsion with over 65% oil, vinegar (or lime juice), and egg as an emulsifier or stabilizer. Conventional mayonnaise, an animal-based (AB) formulation, has flow behavior suitable for dispensing, spooning, spreading, consuming, and use … Emulating its texture, flavor, stability, rheology, processability, and sensory attributes is challenging with egg-free recipes that often include plant-based (PB) proteins and hydrocolloids, such as xanthan gum, guar gum, and starch in the aqueous phase. Here, we contrast the rheological responses of commercially available AB and PB mayos under oscillatory strain to assess their linear and nonlinear viscoelastic properties and to assess why the addition of hydrocolloids provides an egg-free alternative with suitable shelf-life and processability. All mayos display gel-like responses in oscillatory shear at low strain and liquid-like responses beyond the yield stress. All AB mayos show a strain overshoot in the plots of loss modulus against strain, which is absent in the response of vegan mayos that use polysaccharides as hydrocolloids. 

RheologyEmulsions | Food as Soft Matter

63. “Radical scaling: beyond our feet and fingers”, M. A. Fardin, M. Hautefeuille, and V. Sharma, Soft Matter, 22, 212-222 (2026)

Do scaling laws always provide pithy, quantitative, `scale-free’, and `universal’ power law relationships between two variables? In practice, a scaling relationship works only for a limited range, bookended by crossovers to other scaling laws. Leading with Taylor’s oft-cited scaling law for the blast radius of an explosion against time, and by collating an unprecedented amount of datasets for laser-induced, chemical and nuclear explosions, we show distinct kinematics arise at the early and late stages. The objective scales permit us to abandon the arbitrarily chosen anthropocentric units of measurement, like feet for length and heart-beat for time, but the decimal system with ten digits (fingers) is still part of the picture. We show a remarkable collapse of all three regimes onto a common master curve occurs if we replace the base 10 by a dimensionless radix that combines the scales from the two crossovers. We also illustrate this approach of radical scaling for capillarity-driven pinching, coalescence and spreading of drops and bubbles, expecting such generalizations will be made for datasets across many disciplines.

62. “Rheology of animal and plant milks featuring dripping-onto-substrate rheometry”, L. Hassan, K. Al Zahabi, N.N. Nikolova, M. Boehm, S. Baier, and V. Sharma, Phys. Fluids, 37, 043112 (2025). RealVeganMilkRheology_PDF

Many challenges for emulating animal milk’s physicochemical, functional, and sensory attributes can be translated as problems related to the characterization and analysis of flow behavior, motivating this study. Only a few studies characterize shear rheology and almost none show characterization of extensional rheology of animal milks (cow and goat) and plant milks (soy, almond, rice, coconut, pea, and oat). We find that the two animal milks have rate-independent shear viscosity responses similar to Newtonian fluids. In contrast, the plant milks, except rice milk, display shear thinning. We characterize the pinching dynamics and extensional rheology response by employing the dripping-onto-substrate (DoS) protocols that we have shown are suitable for formulations such as milk that display a constant or shear thinning response but no measurable elasticity or viscoelasticity. The distinct rheology response of animal and plant milks, the illustration of suitable measurement protocols, and the discussion of the role of dispersed colloidal particles, drops, and macromolecules are presented as three key contributions of this study, aimed at facilitating the formulation and design of more nutritious and sustainable future milks.

Motif Foodworks collab | Rheology | DoS rheometry | Emulsions | Food as Soft Matter

61. “Extensional Rheological Properties of Poly-γ-benzyl-l-glutamate Solutions across the Isotropic-Cholesteric Liquid Crystalline Phase Transition”, A. Linscott, N N. Nikolova, B. Husar, V. Sharma, and Svetlana Morozova, Macromolecules, 2025.

Case Western collab | Rheology | DoS rheometry | Polymer physics 

60. “Modeling drop deformations and rheology of dilute to dense emulsions”, R. B. Reboucas, N N. Nikolova and V. Sharma, Curr. Op. Colloid Interface Sci., 77, 101904, (2025). RheologyEmulsions_PDF

We highlight the current state-of-the-art in modeling emulsion rheology, ranging from dilute to jammed dense systems. We focus on analytical and numerical methods developed for calculating, computing, and tracking drop deformation en route to developing constitutive models for flowing emulsions. We identify material properties and dimensionless parameters, collate the small deformation theories and resulting expressions for viscometric quantities, list theoretical and numerical methods, and take stock of challenges for capturing connections between drop deformation, morphology, and rheology of emulsions. We highlight the substantial progress in providing quantitative descriptions of the rheological response using analytical theories, dimensional analysis, and powerful computational fluid dynamics to determine how macroscopic rheological properties emerge from microscopic features, including deformation and dynamics of non-interacting or interacting drops and molecular aspects that control the interfacial properties.

Rheology | DoS rheometry | Fizzics | Scaling

59. “The bubbly life and death of animal and plant milk foams”, L. Hassan, M. Reynoso, C. Xu, K. Al Zahabi, R. Maldonado, R. A Nicholson, M. W Boehm, S. K Baier, and V. Sharma, Soft Matter, (2024)

Motif Foodworks collab | Rheology | DoS rheometry | Polymer physics | Food as Soft Matter

58. “Extensional rheology of elastoviscous aqueous PEO/PEG or DMS Boger fluids and weakly elastic alternatives for investigating viscoelastic flows and instabilities”, A. Kubinski, F. Albreiki, J. Dinic, P. Rathore, and V. Sharma, J. Non-Newtonian Fluid Mech. (2024)

Rheology | DoS rheometry | Polymer physics | Fluid mechanics

57. “Dynamic Duos: the building blocks of dimensional mechanics”, M.A. Fardin*, M. Hautefeuille and V. Sharma, Soft Matter, 20, 5475-5508 (2024) DimensionalMechanics_PDF

We present examples from the physical and biological realms, including planetary motion, sedimentation, explosions, fluid flows, turbulence, diffusion, cell mechanics, capillary and gravity waves, and spreading, pinching, and coalescence of drops and bubbles. This review is complemented by online video lectures, which initiate a discussion on the elaborate interplay of two or more mechanical quantities.

CNRS & Sorbonne collab | Scaling | Fizzics

56. “Spatiotemporal mapping of nanotopography and thickness transtions of ultrathin foam films”, C. Xu, Y. Zhang, and V. Sharma*, Soft Matter, 20, 3719-3728 (2024) IDIOMTutorial_PDF

 In this tutorial, we describe the IDIOM (interferometry digital imaging optical microscopy) protocols … provide fully executable image analysis codes and algorithms for the analysis of nanotopography of stratified micellar foam films.

IDIOM | FIZZICS

55. “Pinching dynamics, extensional rheology, and stringiness of saliva substitutes”, Karim Al-Zahabi, Lena Hasan, Michael Boehm, Stefan Baier, and V. Sharma*, Soft Matter, (2024)

Even though extensional flows involving saliva are commonly encountered in situations such as swallowing, coughing, sneezing, licking, drooling, gleeking, and blowing spit bubbles, rheological evaluations of saliva and its substitutes in most studies rely on measured values of shear viscosity. Natural saliva possesses stringiness or spinnbarkeit, governed by extensional rheology response, which cannot be evaluated or anticipated from the knowledge of shear rheology response. 

MOTIF Foodwooks collab | Rheology | DoS rheometry | Polymer physics

54. “Foam film stratification, viscosity, and small molecule x-ray scattering of micellar SDS solutions over an extended concentration range (1 < c/CMC < 75)”, C. Ochoa, S. Guo, C. Xu, S. Srivastava, and V. Sharma*, Soft Matter,20 1922-1934 (2024). Link

Here, we visualize and analyze nanoscopic thickness variations and transitions in stratifying foam films using Interferometry Digital Imaging Optical Microscopy (IDIOM) protocols. We compare step size obtained from foam stratification to micelle dimension, micelle volume fraction, and intermicellar distance obtained from small angle X-ray scattering studies. Even though the volume fraction increases and approaches 25% at c = 600 mM, the solution viscosity only increases by a factor of four compared to the solvent, consistent with the findings from both stratification and scattering studies. These comparisons allow us to explore the effect of micelle size, morphology, and intermicellar interactions on supramolecular oscillatory structural disjoining pressure, which influences the stratification behavior of draining foam films containing micelles under confinement.

53. “Pinching dynamics and extensional rheology of dense colloidal suspensions with depletion attractions,” D.D. Soetrisno, C. D. V. Martínez Narváez, M. J. Gallegos, V. Sharma, and J. C. Conrad, J. Rheol., 68, 99-112 (2024)

We study the extensional flow properties by characterizing the capillarity-driven pinching dynamics of dense colloidal suspensions at a constant volume fraction with polymer-induced depletion interactions using a dripping-onto-substrate (DoS) protocol. Methacrylate copolymer particles with dimethyl acrylamide copolymer brushes are suspended in a refractive-index- and density-matched mixture of 80 (w/w)% glycerol in water with NaCl added to screen the electrostatic repulsions. Depletion attractions between the colloids are introduced by adding polyacrylamide polymers of weight and dispersity. The addition of polymer delays and modifies the pinch-off dynamics of the dense suspensions, depending on the size and dispersity of the polymer.

52. “Rheology and dispensing of real and vegan mayo: the chickpea or egg problem,” N. N. Nikolova, C. D. V. Martinez, Narvaez, L. Hassan, R. A. Nicholson, M. W. Boehm, S. K. Baier, and V. Sharma, Soft Matter, 19,  9413-9427, 2023. Read & watch SI video here

In this contribution, we characterize the flow behavior of animal-based and plant-based mayo emulsions, seeking to decipher the signatures that make the real mayonnaise into such an appetizing complex fluid. We find that commercially available vegan mayos can emulate the apparent yield stress and shear thinning of yolk-based mayonnaise by the combined influence of plant-based proteins (like those extracted from chickpeas) and polysaccharide thickeners. However, we show that the dispensing and dipping behavior of egg-based and vegan mayos display striking differences in neck shape, sharpness, and length.

51. “Concentration Regimes for Extensional Relaxation Times of Unentangled Polymer Solutions,” D. D. Soetrisno, C. Martinez, V. Sharma* and J. C. Conrad*, Macromolecules, 56 (13), 4919-4928, 2023. Link

50. “Ultrathin micellar foam films of Sodium Caseinate protein solutions,” L Hassan, C. Xu, M. Boehm, S. Baier, and V. Sharma*,  Langmuir, 39, 6102-6112, 2023.  Link

Sodium caseinates (NaCas), derived from milk proteins called caseins, are often added to food formulations as emulsifiers, foaming agents, and ingredients for producing dairy products. Here we visualize the nanotopography in protein films with high spatiotemporal resolution using IDIOM protocols to address two long-standing questions. Do protein foam films formulated with NaCas undergo drainage via stratification? Are thickness transitions and variations in protein foam films determined by intermicellar interactions and supramolecular oscillatory disjoining pressure? In contrast with foam films containing micellar SDS, we find that micellar NaCas foam films display just one step, nonflat and noncircular domains that expand without forming nanoridges and a terminal thickness that increases with NaCas concentration. We infer that the differences in adsorbing and self-assembling unimers triumph over any similarities in the structure and interactions of their micelles.

49. “Polymer-surfactant complexes impact stratification and nanotopography of micellar foam films,” C. Xu, C. D. V. Martinez Narvaez, P. Kotwis, and V. Sharma, Langmuir, 39, 5761-5170 (2023). Link

Here, we report the discovery and evidence of drainage via stratification in foam films formed with polymer–surfactant (PEO–SDS) complexes. We show that the stratification trifecta of coexisting thick–thin regions, stepwise thinning, and nanoscopic topological features such as nanoridges and mesas can be observed using IDIOM (interferometry, digital imaging, and optical microscopy) protocols we developed for nanoscopic thickness mapping. We determine that for polymer concentrations below overlap concentration and surfactant concentrations beyond the excess micelle point, polymer-surfactant complexation impact the nanoscopic topography but not the step size, implying the amplitude of disjoining pressure changes, but periodicity remains unchanged.

48. “Solvent choice influences rheology of polyelectrolytes solutions: Thickening the pot with glycerol and cellulose gum,” L.N, Jimenez, C. D. V. Martínez Narváez, and V.Sharma, Macromolecules, 55 (18), 3432-3451 (2022). SolventEffect_PDF

Charge-bearing groups that ionize in solution influence the macromolecular conformations, interactions, and dynamics of polyelectrolytes. The rich and complex shear rheological response of polyelectrolyte solutions and the influence of salt and pH are the focus of many exquisite theoretical and experimental studies. Surprisingly, the influence of solvent properties on the rheological response of polyelectrolyte solutions is not well studied, which motivates this study. Here, we tune the solvent properties by varying the glycerol fraction in glycerol/water mixtures used for dissolving cellulose gum or sodium carboxymethyl cellulose (NaCMC). The rate-dependent steady shear viscosity measured using torsional rheometry shows that cellulose gum and glycerol thicken the pot of aqueous food or pharmaceutical formulations, but the effect is not additive. Here, we utilize dripping-onto-substrate (DoS) rheometry protocols we developed to visualize and analyze the capillarity-driven pinching dynamics and characterize the extensional rheological response. We find that solvent choice and properties offer pragmatic options for macromolecular engineering of formulations in the food, pharmaceutical, and personal care industries that rely on polyelectrolytes as additives and thickeners.

47. “Salt Weakens Intermicellar Interactions and Structuring in Bulk Solutions and Foam Films,” S. Guo, C. Ochoa, V. Sharma*, and S. Srivastava*, Langmuir, 38, 11003-11014 (2022).

46. “Heavy Metal Removal using Structured Sorbents 3D-printed from Carbon Nanotube-Enriched Polymer Solutions,” J. Xu, C. Slykas; A. S. Braegelman; K. G. Alvarez; T. Kasl; B. W. Boudouris; M. J. Webber; V. Sharma; W. A. Phillips*, Matter, 5(10), 3432-3451 (2022).

45. “Spreading, pinching, and coalescence: the Ohnesorge units,” M. A. Fardin*, M. Hautefeuille, and V. Sharma, Soft Matter 2022. SI_SM2022 OhnesorgeUnits_SM2022

In this tutorial review, we reanalyze and summarize an elaborate set of landmark published experimental studies on a wide range of Newtonian fluids. We show that moving beyond visco-inertial (VI), visco-capillary (VC) and inertio-capillary (IC) units in favor of intrinsic timescale and lengthscale determined by all three material properties (viscosity, surface tension and density), creates a complementary system that we call the Ohnesorge units. We find that in spite of large differences in topological features, timescales, and material properties, the analysis of spreading, pinching and coalescing drops in the Ohnesorge units results in a remarkable collapse of the experimental datasets, highlighting the shared and universal features displayed in such flows.

44. “Fiber Engineering Trifecta of Spinnability, Morphology, and Properties: Centrifugally Spun Versus Electrospun Fibers,” J. Merchiers, C. L. Slykas, C. D. V. Martínez Narváez,  M. Buntinx, W. Deferme, R. Peeters, N.K. Reddy and V. Sharma†*, ACS Applied Polymer Materials, 4, 3, 2022-2035, 2022. PDF_TrifectaCentrifugal_2022 Link

Designing application-ready fibers involves multifaceted challenges related to correlating the formulation properties and processing parameters to the fiber engineering trifecta of spinnability, morphology, and properties. Here, we characterize the influence of macromolecular and solvent properties on the trifecta for poly(ethylene oxide) (PEO) fibers produced using a bespoke centrifugal force spinning (CFS) setup and matched processing parameters. We illustrate the influence of changing solvent on spinnability, morphology, and properties (thermal and mechanical) by varying the acetonitrile (AcN) fraction in the spinning dope formulated with PEO dissolved in AcN/H2O mixtures. Even though distinct forces determine the jet trajectory and fiber formation for ES and CFS, we find that centrifugally spun PEO fibers emulate electrospun fiber properties, morphology, and spinnability. We discuss the mechanism underlying volatile-entangled spinnability, displayed here by PEO solutions in certain AcN/H2O mixtures.

43. Extensibility-Enriched Spinnability and Enhanced Sorption and Strength of Centrifugally-Spun Polystyrene Fiber Mats, J. Merchiers, N.K. Reddy and V. Sharma†*, Macromolecules, 55 (3), 942-955,2022. Link PDF_ExtensibilityEnrichedSpinnability2022

We show that incorporating ultrahigh molecular weight (UHMw) polymer fractions into spinning dopes improves their spinnability and facilitates the centrifugal force spinning (CFS) of polystyrene (PS) fiber mats with enhanced mechanical and sorption properties. We attribute the enhanced spinnability and fiber properties to change in extensibility (stretched to equilibrium coil size ratio), quantified using the extensibility-averaged molecular weight, ML, that accounts for the role of stretched chain hydrodynamics and extensional rheology response. Although many studies argue that spinnable solutions lie above the entanglement concentration on the cMw plots, we show that the UHMw additives facilitate fiber formation below the computed entanglement concentration for extensibility-enriched (EE) polymer solutions. 

42. Evaporation and rheology chart a processability map for centrifugal force spinning, J. Merchiers, C. D. V. Martínez Narváez, C. Slykas, N.K. Reddy and V. Sharma†*,  Macromolecules, 54(23), 11061-11073, 2021. Link PDF_VolatileEntangledSpinnability2022

We find that spinnability and fiber morphology depend on solvent choice if polymer concentration, solution shear rheology, the number of entanglements, extensional relaxation time, and the parameters for centrifugal spinning are nearly matched. We chart a processability map for centrifugal spinning by plotting extensional relaxation time, measured for the volatile polymer solutions using a closed-cell dripping-onto-substrate (DoS) rheometry, against the time of flight (from the nozzle to the collector) by scaling both the timescales with an evaporation time.

41. Drainage via stratification and nanoscopic thickness transitions of aqueous sodium naphthenate foam films, C. Ochoa, C. Xu, C. D. V. Martínez Narváez, W. Yang, Y. Zhang, and V. Sharma*, Soft Matter, 17, 8915-8921, 2021. Link

Sodium naphthenates (NaNs), found in crude oils and oil sands process-affected water (OSPW), can act as surfactants and stabilize undesirable foams and emulsions. Here, we contrast the drainage of aqueous foam films formulated with NaN with foams containing sodium dodecyl sulfate (SDS), a well-studied surfactant system, in the relatively low concentration regime (c/CMC < 12.5). In comparison with SDS, we find smaller concentration-dependent step size and terminal film thickness values for NaN, implying weaker intermicellar interactions and oscillatory structural disjoining pressure with shorter decay length and periodicity.

40. Centrifugally Spun PEO Fibers Rival Properties of Electrospun Fibers, Jorgo Merchiers, C. D. V. Martínez Narváez, C. Slykas, M. Buntinx, W. Deferme, J. D’Haen, R. Peeters, V. Sharma*, and N. K. Reddy*, Journal of Polymer Science, 59, 2754-2762, 2021. PDF_CentrifugallySpunRivalElectrospun2021

Here, we report the CFS of poly(ethylene oxide) (PEO) fibers made using a spinning dope formulated with acetonitrile (AcN) as the volatile solvent, and we describe the thermal and mechanical properties of the centrifugally-spun fibers. … the article presents three crucial contributions: the pioneering use of PEO solutions in AcN as spinning dope, characterization of crystallinity and mechanical properties of the centrifugally-spun PEO fibers, and a comparison with the corresponding properties of electrospun fibers. We find that the centrifugally spun PEO fibers display crystallinity, modulus, elongation-at-break, and fiber diameter that rival the properties of electrospun PEO fibers reported in the literature.

39. Rheology and pinching dynamics of associative polysaccharide solutions, C. D. V. Martínez Narváez, J. Dinic, X. Lu, C. Wang, R. Rock, H. Sun, and V. Sharma*, Macromolecules, 54, 6372-6288, 2021. PDF_AssociativePolysaccharides2021

We show that sticker associations enhance zero shear viscosity and relaxation time (elasticity), and both quantities display stronger concentration-dependent variation for sticky polymers. Striking differences are observed in neck shapes, radius evolution profiles, and extensional viscosity plotted as a function of strain as well as strain rate. We present a comprehensive analysis of changes in pinching dynamics, concentration-dependent variation in steady, terminal viscosity as well as filament lifespan as a function of the sticky polymer concentration and describe the influence of multiple stickers on the macromolecular strain, relaxation, and dynamics of associative polysaccharides.

In collaboration with & funded by PPG Industries

38. Surface forces and stratification in foam films formed with bile salts, S. I. Kemal, C. A. Uribe Ortiz and V. Sharma*, Molecular Systems Design & Engineering, 6, 520-533, 2021 Link

Here we report the discovery and characterization of stratification in foam films formed by aqueous solutions of four bile salts – sodium cholate (NaC), sodium taurocholate (NaTC), sodium deoxycholate (NaDC), and sodium glycodeoxycholate (NaGDC) – that have a similar steroid nucleus, but difference in conjugation sites and the number of hydroxyl groups (3 for NaC and NaTC, 2 for NaDC and NaGC). Using IDIOM (Interferometry Digital Imaging Optical Microscopy) protocols we developed recently to characterize and analyze thickness variations and transitions, we find that foam films made with bile salts exhibit fewer step-wise transitions and smaller step-size than SDS solutions. Also, we measured a lower drop in surface tension, and lower magnitude of thickness-dependent disjoining pressure in comparison with SDS solutions.

37. “Dynamics and extensional rheology of polymer-surfactant association complexes,” C. D. V. Martinez Narváez, T. Mazur, and V. Sharma, Soft Matter, 17, 6116-6126 (2021). Link

Understanding and characterizing the influence of polymers and surfactants on rheology, application, and processing is critical for designing complex fluid formulations for enhanced oil recovery, pharmaceuticals, cosmetics, foods, inks, agricultural sprays, and coatings. In this article, we use the dripping-onto-substrate (DoS) rheometry protocols and we find the PEO–SDS mixtures display a significantly weaker concentration-dependent variation in the extensional relaxation time, filament lifespan, and extensional viscosity values than anticipated by the measured shear viscosity.

36. “Foam film stratification studies probe intermicellar interactions,” C. Ochoa, S. Guo,  S. Srivastava, and V. Sharma*, Proceedings of the National Academy of Sciences of the USA, 118 (25), e2024805118 (2021). Link

Ultrathin foam films containing supramolecular structures like micelles in bulk and adsorbed surfactant at the liquid-air interface undergo drainage via stratification. In this contribution, we contrast the step size obtained from analysis of nanoscopic thickness variations and transitions in stratifying foam films using Interferometry Digital Imaging Optical Microscopy (IDIOM) protocols, that we developed, with the intermicellar distance obtained using small-angle X-ray scattering. We find that stratification driven by the confinement-induced layering of micelles within the liquid-air interfaces of a foam film provides a sensitive probe of non-DLVO (Derjaguin–Landau–Verwey–Overbeek) supramolecular oscillatory structural forces and micellar interactions.

35. “The rheologically-complex beauty of nail lacquer formulations,” L. . Jimenez, C. D.V. Martinez Narvaez, Chenxian Xu, Samantha Bacchi, and Vivek Sharma, Soft Matter, 17, 5197-5213  (2021). PDF_NailLacquerRheology2021

Optimizing and characterizing the formulation rheology is critical for achieving longer shelf-life, better control over the nail painting process and adhesion, continuous manufacturing of large product volumes, and increasing overall consumer satisfaction. Dispensing, bottle filling, brush application, and dripping, as well as perceived tackiness of nail polishes, all involve capillarity-driven pinching flows associated with strong extensional deformation fields. However, a significant lack of characterization of pinching dynamics and extensional rheology response of multicomponent formulations, especially particle suspensions in viscoelastic solutions, motivates this study. Here, we characterize the shear rheology response of twelve commercial nail lacquer formulations using torsional rheometry and characterize pinching dynamics and extensional rheology response using dripping-onto-substrate (DoS) rheometry protocols we developed. 

34. “Flexibility, Extensibility, and Ratio of Kuhn Length to Packing Length Govern the Pinching Dynamics, Coil-Stretch Transition and Rheology of Polymer Solutions,” J. Dinic and V. Sharma*, Macromolecules, 53, 4821-4835 (2020). PDF_ChemicalStructureEffect_HECvsPEO

We show that the chemistry-dependent contrast in macromolecular dynamics and extensional rheology response can be characterized a priori in terms of three ratios: contour length to Kuhn length (flexibility), contour length to unperturbed coil size (extensibility), and packing length to Kuhn length (a parameter we termed as segmental dissymmetry). We identify the influence of the three ratios − flexibility, extensibility, and segmental dissymmetry − on the critical minimum concentration below which elastocapillary response and extensional relaxation time cannot be measured, the critical concentration above which the influence of concentration fluctuations disappears, and also define a stretched overlap concentration below which the extensional relaxation time becomes concentration-independent.

33. “Power Laws Dominate Shear and Extensional Rheology Response and Capillarity-Driven Pinching Dynamics of Entangled Hydroxyethyl Cellulose (HEC) Solutions,” J. Dinic and V. Sharma*, Macromolecules. 53, 3424-3437  (2020) 

Abstract:

We find that the radius evolution data from the pinching necks show an elastocapillary regime that can be fit to determine the extensional relaxation time even for unentangled HEC solutions that show neither rate-dependent regime in shear viscosity nor measurable elasticity in the shear rheology response measured using torsional rheometers. However, the entangled HEC solutions that exhibit pronounced shear thinning and measurable elastic moduli also reveal that the power law in the radius evolution data is modulated in the late stage by viscoelastic effects, allowing the measurement of both extensional relaxation time and steady, terminal extensional viscosity.

32. “Capillary Break-up and Extensional Rheology Response of Food Thickener Cellulose Gum (NaCMC) in Salt-Free and Excess Salt Solutions,“ L. N. Jimenez, C. Martinez Navaraez, and V. Sharma, Phys. Fluids, 32, 012113 (2020). ExtensionalRheol_CelluloseGum_PDF

Abstract:

Cellulose gum, also known as sodium carboxymethyl cellulose (NaCMC), is a polysaccharide often used as a thickener or rheology modifier in many industrial complex fluids, including foods. Shear and extensional rheology response influence production and processing of food, as well as the consumer perception and bioprocessing that begin with every bite.  In this contribution, we address the characterization challenges using dripping-onto-substrate (DoS) rheometry protocols that rely on analysis of capillary-driven thinning and breakup of liquid necks created by releasing a finite volume of fluid onto a substrate. The DoS rheometry protocols emulate the heuristic tests of thickening, stickiness, or cohesiveness based on dripping a sauce from a ladle.

31. “Macromolecular Relaxation, Strain and Extensibility Determine Elastocapillary Thinning and Extensional Viscosity of Polymer Solutions,” J. Dinic and V. Sharma*, Proceedings of the National Academy of Sciences, 116(18), 8766-8774 (2019). Extensibility DoS Rheometry PDF

Significance: Macromolecules are often used as additives to modify flow behavior (rheology and processability) in myriad applications that involve drop formation or liquid transfer. However, processability is usually expressed in heuristic terms like jettability, printability, sprayability, spinnability, and so on and the influence of material properties is poorly understood and characterized. We utilize the recently developed dripping-onto-substrate rheometry to obtain fundamental and hitherto unreported insights into macromolecular properties (strain, relaxation, conformational transitions, and finite extensibility) that influence drop formation dynamics. We anticipate our findings will impact and inspire macromolecular engineering approaches for designing processing-friendly formulations.

30. “Spinodal Stratification in Ultrathin Micellar Foam Films,” S. Yilixiati, E. Wojcik#, Y. Zhang and V. Sharma*, Molecular Systems Design & Engineering, 4, 626-638, 2019. SpinodalStratificationFoamFilms PDF

Dewetting polymer films occasionally phase separate into thick and thin regions forming an interconnected, network-like morphology by undergoing spinodal dewetting. However, the formation of thick–thin spinodal patterns has never been reported for freestanding films. In this contribution, we show that the thickness-dependent oscillatory contribution to free energy that arises due to confinement-induced layering of micelles can drive the formation of such thick-thin regions by undergoing a process we term as spinodal stratification.

29. “Bird of Transport,” (Poem, published as an Editorial), V. Sharma*, Physics of Fluids, 2, 020902 (2019). Ghazal/ Poem BirdOfTransport PDF (For a recitation and an essay on Ghazal, see supplementary information online).

28. “Effect of Salt Valency and Concentration on Shear and Extensional Rheology of Aqueous Polyelectrolyte Solutions for Enhanced Oil Recovery,” A.V. Walter, L. N. Jimenez, J. Dinic, V. Sharma and K.A. Erk*, Rheological Acta, 58, 145-157 (2019). PolyelectrolytesEOR_PDF

27. “Computational Analysis of Self-Similar Capillary-Driven Thinning and Pinch-off Dynamics during Dripping using Volume-of-Fluids  Method,” J. Dinic, and V. Sharma*, Physics of Fluids.,  (2019). ComputationalAnalysis PinchOffFlow3D Dripping PDF

26. “Extensional Relaxation Time, Pinch-off Dynamics and Printability of Semi-Dilute Polyelectrolyte Solutions,” L. N. Jimenez, J. Dinic, N. Parsi and V. Sharma*, Macromolecules, 51, 5191-5208 (2018). ExtensionalRheology Saltfree Semi-dilute PolyelectrolyteSolutions PDF

Quantitative studies of capillary-driven thinning and pinch-off dynamics of semidilute polyelectrolyte solutions, and their response to extensional flows, typically encountered in drop formation applications, are relatively rare and are the focus of this contribution. Here the pinch-off dynamics and extensional rheology of two model polyelectrolytes – poly(sodium 4-styrenesulfonate) (NaPSS) and poly(acrylic acid) (PAA) – in two different solvents are characterized by using Dripping-onto-Substrate (DoS) rheometry.

25. “Thickness-dependent Phase Transition Drives Nanoridge-to-Mesa Instability in Micellar Freestanding Films,” Y. Zhang and V. Sharma*, Langmuir34 (26), 7922-7931(2018) Nanoridge-to-mesa Instability StratifiedFilms PDF

Previous studies assume that the instability and the appearance of white spots are similar to the capillarity-driven Rayleigh instability that leads to the breakup of a coherent liquid jet. Using the IDIOM (interferometry digital imaging optical microscopy) protocols we recently developed, we characterize the nanoridge-to-mesa instability with exquisite spatiotemporal resolution (thickness <1 nm, time <1 ms). The instability could be classified as a Rayleigh instability if a similar sequence of thick and thin undulations is visualized around the expanding domains. However, quantitative analysis reveals that only mesas grow in size after the instability, whereas the rest of the nanoridge preserves its shape.

24. “Passive Nonlinear Microrheology for Determining Extensional Rheology“, K. W. Hsiao, J. Dinic, Y. Ren, V. Sharma and C. M. Schroeder*, Phys. Fluids, 29, 121603 (2017). Passive Microrheology DoS Rheometry PDF

23. “Influence of Salt on Supramolecular Oscillatory Structural Forces and Stratification in Micellar Foam Films, ”, S. Yilixiati, R. Rafiq, Y. Zhang and V. Sharma*, ACS Nano, 12,  1050-1061 (2018). Effect of Salt on Stratification PDF

 In this contribution, we elucidate how the addition of salt affects stepwise thinning: step size, number of steps, as well as the shape and size of nanoscopic nonflat structures such as mesas in micellar foam films formed with aqueous solutions of anionic surfactant (sodium dodecyl sulfate (SDS)). In contrast to nanoparticle dispersions that show no influence of salt on step size, we find that the addition of salt to micellar freestanding films results in a decrease in step size as well as the number of stepwise transitions, in addition to changes in nucleation and growth of mesas, all driven by the corresponding change in supramolecular oscillatory structural forces.

22. “Pinch-off Dynamics and Extensional Relaxation Times of Intrinsically Semi-Dilute Polymer Solutions Characterized by Dripping-onto-Substrate (DoS) Rheometry”, J. Dinic, M. Biagioli and V. Sharma*, J. Polymer Sci. Polym. Phys., 55, 1692-1704 (2017). DOI: 10.1002/polb.24388 DoSRheometry Intrinsically Semi-Dilute Solutions PDF
We find that the extensional relaxation times for intrinsically semi-dilute PEO solutions in a good solvent for five different molecular weights increase linearly with concentration, exhibiting a stronger concentration dependence than observed for dilute solutions, or anticipated by blob models, developed for relaxation of weakly perturbed chains in a good solvent.

21.“Nanoridge Formation and Dynamics of Stratification in Micellar Freestanding Films ”, Y. Zhang and V. Sharma*, Langmuir, 34(3),  1208-1217 (2018). Nanoridge Formation Stratification Hydrodynamics PDF

We show that nanoridges form and grow at the moving front around expanding domains, and we visualize their shape evolution using Interferometry Digital Imaging Optical Microscopy (IDIOM) protocols with an unprecedented spatiotemporal resolution (thickness <10 nm, time <1 ms). We develop a theoretical model for drainage via stratification under the influence of supramolecular oscillatory surface forces arising from the confinement-induced layering of micelles, and we show that the nanoridge growth and domain expansion dynamics can be modeled quantitatively.

20. “Pinch-off Dynamics and Dripping-onto-Substrate (DoS) Rheometry of Complex Fluids”, J. Dinic, L. N. Jimenez and V. Sharma*, Lab Chip, 17, 460-473, 2017. Pinch-off Dynamics DosRheometry ComplexFluids PDF
Characterization of pinch-off dynamics and the response to both shear and extensional flows that influence drop formation/deposition in microfluidic and printing applications requires bespoke instrumentation not available, or easily replicated, in most laboratories. Here we show that dripping-onto-substrate (DoS) rheometry protocols that involve visualization and analysis of capillary-driven thinning and pinch-off dynamics of a columnar neck formed between a nozzle and a sessile drop can be used for measuring shear viscosity, power law index, extensional viscosity, relaxation time and the most relevant processing timescale for printing. We showcase the versatility of DoS rheometry by characterizing and contrasting the pinch-off dynamics of a wide spectrum of simple and complex fluids: water, printing inks, semi-dilute polymer solutions, yield stress fluids, food materials and cosmetics.

19.“Nanoscopic Terraces, Mesas, and Ridges in Freely Standing Thin Films Sculpted by Supramolecular Oscillatory Surface Forces ”, Y. Zhang, S. Yilixiati, C. Pearsall and V. Sharma*ACS Nano10, 4678-4683 (2016). IDIOM PDF 

Understanding and characterizing the spontaneous creation and evolution of nanoscopic topography of stratifying, freely standing thin liquid films have been long-standing challenges due to the absence of experimental techniques with the requisite spatial (thickness <10 nm) and temporal resolution (<1 ms). Using Interferometry Digital Imaging Optical Microscopy (IDIOM) protocols developed herein, we visualize and characterize size, shape, and evolution kinetics of nanoscopic mesas, terraces, and ridges.

18. “Extensional Relaxation Times of Dilute Polymer Solutions”, J. Dinic, Y. Zhang, L. N. Jimenez and V. Sharma*, ACS Macro Lett., 2015tinyurl.com/ODES-DOS Dripping-onto-Substrate (DoS) Rheometry PDF

We show that visualization and analysis of capillary-driven thinning and pinch-off dynamics of the columnar neck in an asymmetric liquid bridge created by dripping-onto-substrate can be used for characterizing the extensional rheology of complex fluids. As the radius of the neck that connects a sessile drop to a nozzle is detected optically, and the extensional response for viscoelastic fluids is characterized by analyzing their elastocapillary self-thinning, we refer to this technique as optically-detected elastocapillary self-thinning dripping-onto-substrate (ODES-DOS) extensional rheometry.

17.“Domain expansion kinetics in stratifying foam films: Experiments”, Y. Zhang and V. Sharma*Soft Matter.11, 4408-4417 (2015). DomainExpansionKineticsExpts PDF

Domain and associated thickness variation in foam films made from sodium dodecyl sulfate (SDS) micellar solutions are examined using a Scheludko-type cell with a novel technique we call Interferometry Digital Imaging Optical Microscopy (IDIOM). We show that the domain expansion dynamics exhibit two distinct growth regimes with characteristic scaling laws.

16. “Studying the Effects of Elongational Properties on Atomization of Weakly Viscoelastic Solutions Using Rayleigh Ohnesorge Jetting Extensional Rheometry (ROJER),” B. Keshavarz, V. Sharma, E. C. Houze, M. R. Koerner, J. R. Moore, P. M. Cotts, P. Threlfall-Holmes and G. H. McKinley, JNNFM, 2015. (ROJER, paper 2).

15.The Rheology of Aqueous Solutions of Ethyl Hydroxy-Ethyl Cellulose (EHEC) and its Hydrophobically Modified Analogue (hmEHEC): Extensional Flow Response in Capillary Breakup, Jetting (ROJER) and in a Cross-Slot Extensional Rheometer”, V. Sharma*, S.J. Haward, J. Serdy, B. Keshavarz, A. Söderlund, P.Threlfall-Holmes and G. H. McKinley, http://tinyurl.com/ROJERJetting Soft Matter, 11, 3251-3270 (2015). Extensional Rheology of Cellulose Ethers using  ROJER PDF

14. “Bouligand structures underlie circularly polarized iridescence of scarab beetles: a closer view,” V. Sharma, M. Crne, J. O. Park and M. Srinivasarao, Materials Today: Proceedings, 1S, 161-171, (2014). Bouligand Structures Jewel Beetles PDF

Published before 2013

  1. An intriguing empirical rule for estimating the first normal stress difference from steady shear viscosity data for polymer solutions and melts,” V. Sharma* and G. H. McKinley, Rheologica Acta, 51 (6), 487-495 (2012) AbNormalRule NormalStress PDF

  2. Shear and extensional rheology of cellulose in ionic liquids”, S. J. Haward*, V. Sharma, G. H. McKinley and S. Rahatekar, Biomacromolecules13, 1688-1699 (2012). Cellulose/Ionic Liquids PDF

11.  “Rheology of Globular Proteins: Apparent yield stress, interfacial viscosity and high shear rate viscosity of Bovine Serum Albumin Solutions,” V. Sharma, A. Jaishankar, Y. Wang and G. H. McKinley*, Soft Matter, 7 (11), 5150-5160 (2011). ProteinRheology SoftMatter2011 PDF

  1. “Mimicry of Papilio Palinurus Butterfly Optical Effects,” M. Crne, V. Sharma, J. Blair, J. O. Park, C. J. Summers and M. Srinivasarao*, EPL, 93 (1), 14001 (2011) PDF Papilio Biomimicry

  2. “Extensional opto-rheometry with biofluids and ultra-dilute polymer solutions”, S.J. Haward, V. Sharma and J. A. Odell, Soft Matter, 7 (21), 9908-9921 (2011). Cover Art PDF Extensional Opto-Rheometry

  3. “Apparent bulk yield stress, interfacial creep ringing and interfacial viscoelasticity of globular protein/surfactant mixtures,” A. Jaishankar, V. Sharma and G. H. McKinley, Soft Matter, 7 (17), 7623-7634 (2011). PDF Protein-Surfactant Interfacial Rheology & Creep Ringing

  4. “Characterization of ordered arrays of micropores in a polymer film,” L. Song, V. Sharma, J. O. Park and M. Srinivasarao, Soft Matter, 7, 1890-1896 (2011) PDF Ordered Arrays Breath Figure Templated Assembly

  5. “Effect of solvent choice on breath-figure-templated assembly of ‘holey’ polymer films,” V. Sharma, L. Song, R. L. Jones, P. R. Williams and M. Srinivasarao, EPL, 91, 38001 (2010). PDF

  6. “Dynamics of bead formation, filament thinning and breakup in weakly viscoelastic jets,” A. M. Ardekani, V. Sharma and G. H. McKinley, J. Fluid Mech., 665, 46-56 (2010) PDF

  1. Structural Origin of Circularly Polarized Iridescence in Jeweled Beetles,” V. Sharma, M. Crne, J. O. Park and M. Srinivasarao, Science, 325, 449-452 (2009). Jeweled Beetles PDF 

Research featured in

  1. “Colloidal dispersion of gold nanorods: Historical background, optical properties, synthesis, separation and self-assembly,” Material Science and Engineering Reports, 65, 1-38 (2009). GoldReview PDF        

    (published with Cover Image for the issue).

 

2. “Shape Separation of gold nanorods using centrifugation,” V. Sharma, K. Park and M. Srinivasarao, Proceedings of National Academy of Sciences, 106(13), 4981-4985 (2009). GoldSeparation PDF            (Press Coverage, Analytical Chemistry News)

1. “Chaotic mixing in microdroplets,” R.O. Grigoriev, M.F. Schatz and V. Sharma, Lab Chip, 6, 1369-1372 (2006). Chaotic Mixing Optomicrofluidics PDF

We welcome questions, suggestions, curiosities